只要两个一模一样的乐高小装置、一个手机和一个朋友,你就能在地球上的任何地方测出地球半径。这个方法来自公元前的埃拉托色尼,如今用乐高也能做。

两千多年前,人类早就知道地球是圆的。向南走会看到全新的星座。远处驶来的船只先露出桅杆再露出船身。月食时落在月亮上的地影是圆形。这些都说明地球不是一块平板。
公元前240年左右,希腊数学家埃拉托色尼在埃及亚历山大城提出了一个极聪明的办法,用简单的几何就算出了地球的大小。他没有任何高科技工具,却让地球的半径变成了可计算的数字。现在,我们用乐高积木就能复刻这个实验。
当时他知道,在盛夏的正午,太阳直射赛恩城的一口竖井,井内没有影子。这说明太阳正好在头顶。而同一时间,亚历山大城的地上立杆却能投下影子。这意味着两地的太阳高度角不同,也就说明地面有弧度。
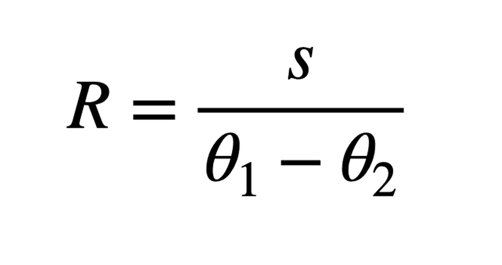
为了求地球大小,他只需要两个数字。一是亚历山大城的影子角度,约为七点二度。为了更一般,我们记成角度θ。二是两城之间的距离,也就是地球表面的弧长s。古人可能是靠步测、商队或道路里程来估算,最终得到五千斯塔迪亚,大约八百公里。然后用简单的比例关系,算出地球半径R。他的结果误差不到百分之一。
这个古老的测量今天依然适用,而且任何地方都能做。你需要三件东西,朋友、手机、乐高积木。你和朋友先搭两个高度完全一样的乐高小塔,然后让朋友开车离你够远。距离越远越好,不过至少一百公里比较合适。
接下来,你们在相同时间测出各自的影子角度。埃拉托色尼在赛恩得到的是零度,因此角度差就是亚历山大的影子角度。我们现在用乐高塔,各自算出影子角度,再取二者的差值,就能得到两地之间的“地球夹角”。
为什么一定要用乐高。因为乐高积木尺寸标准,堆十块和你堆十块高度一样,方便测量,也几乎不需要尺子。

假设我们先测量积木尺寸,把十二块积木首尾接起来,通过测量每块端点的位置,可以画出长度随积木数量增加的直线关系。线性拟合得到每块大约零点九六厘米。叠十块高度就知道是九点六厘米。

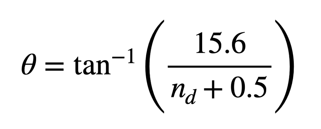
于是我做了一个简易测量装置。底座加九块积木,上面再接四块,总高度十三块,大约十二点四八厘米。为了让底座保持水平,我还用乐高做了一个小铅垂线,把底座对准,让塔保持竖直。

装置放到太阳底下,把塔的影子对准底座上的小点。两个点之间的距离是零点八厘米,所以我们可以用点数来计影长。在示例照片中,影长略小于十六个点。因为影子的起点在两个点中间,我们再加半个点,总影长就是十六点三点,大约十三点零四厘米。

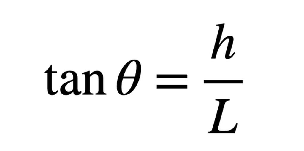
现在用三角函数就能算出影子角度θ。角度取决于塔的高度h和影子的长度L。这里计算得到大约四十三点七度。如果偷懒,也可以直接全部用乐高点数来算,单位会在比例中消掉。

接下来就是测地球了。把其中一个装置交给你的朋友,他带着它离你一百公里以上。距离可以从地图里查直线距离,不过更“传统”的做法是在一段直公路里用车的里程表测。
假设两地间距离是s。你们通过手机同步,在同一时刻让乐高塔的影子对齐底座的点,分别拍下塔与影子的照片,然后计算两个角度θ1和θ2的差值。把角度换成弧度,就是从地心看两地的夹角。

最后带入公式,地球半径R就得出来了,单位与你测的距离相同。如果你得到大约六点三乘十的六次方米,那么你就完成了一次有点魔术感的实验。你用乐高积木测出了地球的大小。

这种小实验不仅可玩,也能让人亲手感受古人怎样把抽象的地球变成能测量的实体,而且只靠身边的材料。继续做下去,你会发现身边的很多简单工具,其实都能通向宏大的科学世界。

2025王摸鱼秋款卫衣,玩梗系列